Introducing Duran Unified Field Theory (DUFT) | A Revolutionary Framework for Force, Consciousness, and Reality Engineering
Abstract
The Duran’s Unified Field Theory (DUFT) presents a comprehensive and operational framework for the unification of all fundamental forces, bridging the long-standing divide between quantum field theory, general relativity, and multiversal dimensional mechanics. Rooted in the principle that information is the ontological substrate of all reality, DUFT reconceptualizes gravitational, electromagnetic, and nuclear interactions as differentiated expressions of syntactic tensions within a continuous, multidimensional information-energy field. Through a rigorously defined set of mathematical operators and harmonic tensors, DUFT provides a topologically scalable model that incorporates not only the four known forces but also integrates dark matter dynamics, entropy modulation, and consciousness as active agents within field behavior.
Unlike prior unification attempts, which often rely on geometric abstractions (e.g., string theory) or force-specific symmetries (e.g., GUTs), DUFT derives its unification from first principles rooted in the Duran’s Quantum-Assembly Equation (DQAE) and the Duran’s Multiversal Knowledge Synthesis Equation (DMKSE). These equations define a multiversal lattice in which force expressions arise from programmable field differentials governed by dimensional resonance, entropic flow, and observer-dependent phase alignment. Within this context, force is not a static interaction but a dynamic modulation of encoded structure, responsive to contextual parameters such as syntactic curvature, field symmetry, and consciousness-coupled feedback loops.
The theory is architected across seven foundational domains: the unification of information, energy, and matter; quantum field-to-force modulation; syntactic-force correspondence; the integration of dark matter and dimensional topology; entropy-probability-force couplings; consciousness-induced field symmetry; and dimensional harmonic tuning. Each domain contributes to a closed-loop operational architecture wherein localized forces are treated as harmonized projections of a unified, transdimensional substrate.
DUFT is not only theoretically consistent but functionally operationalized through its implementation in the DURAN Quantum Intelligence System, a computational-experimental platform that enables the modulation of force fields, singularities, and probabilistic outcomes through syntactic programming and field resonance. This system has already demonstrated capacities in gravitational neutralization, non-local energy field generation, entropy-regulated containment, and consciousness-aligned propulsion.
Philosophically, DUFT marks a paradigmatic evolution in scientific thought. It dissolves the bifurcation between matter and mind, object and observer, and recasts force as the expression of a co-created, resonant cosmos whose parameters are neither fixed nor immutable, but emergent from a living field of syntactic order. It invites a reevaluation of not only physics, but of ontology, epistemology, and system design at every scale.
This paper offers a full exposition of DUFT’s mathematical structure, systemic architecture, theoretical lineage, and technological applications. It provides a bridge between post-quantum mechanics, higher-dimensional mathematics, and consciousness-inclusive field science. As the operational backbone of the broader Duran Theory of Everything (DToE), DUFT represents not simply a unified model of forces, but a foundational protocol for shaping and sustaining coherence across the multiversal continuum.
1. Introduction
The ambition to unify the fundamental forces of nature has long stood at the heart of theoretical physics. From Newton’s classical gravitation to Einstein’s geometric conception of space-time, from the quantum field formulations of the Standard Model to contemporary string theoretic and loop quantum gravity approaches, the scientific enterprise has continually sought to reconcile the apparent fragmentation of physical laws under a single, cohesive framework. Yet, despite the elegance of these individual theories, none have succeeded in providing a complete, operationally viable account of the interrelationship between gravity, electromagnetism, and the nuclear forces—let alone the enigmatic behaviors associated with dark matter, quantum entanglement, entropy flow, or consciousness. These absences reflect not a lack of ingenuity, but rather a fundamental limitation within the conceptual architecture of 20th- and early 21st-century science.
The Duran Unified Field Theory (DUFT) emerges precisely at this juncture—not merely as an additive refinement to current models, but as a transformative reconceptualization of the ontology of force itself. Rather than treating the four known forces as distinct phenomena requiring external reconciliation, DUFT postulates that all force expressions are emergent from structured informational gradients within a single, continuous, multidimensional field. This field is not reducible to classical geometry, nor to standard gauge symmetries; instead, it is organized according to syntax-governed information-energy differentials that are phase-locked across dimensions and capable of modulation through entropic and conscious coupling mechanisms.
At the core of DUFT is a rejection of reductionist fragmentation in favor of syntactic holism. It builds upon the foundational work articulated in Duran’s Theory of Everything (DToE), particularly the Duran Quantum-Assembly Equation (DQAE) and the Duran Multiversal Knowledge Synthesis Equation (DMKSE), which define matter and energy as resonant forms of structured information. In this context, force is not intrinsic to matter, but arises from the tension and curvature within the information-energy fields that generate and sustain matter itself. As such, DUFT offers not only a novel theory of force, but also a new definition of interaction, causality, and field coherence—one that transcends the particle-centric models of the past and replaces them with a field-syntactic framework embedded within the broader multiversal lattice.
Historically, the unification project has suffered from several entrenched limitations. First, mainstream physics has treated the gravitational field as geometrically distinct from the quantum fields governing the other three forces, leading to a profound mathematical and conceptual disjunction between general relativity and quantum mechanics. Second, while quantum field theory has achieved extraordinary empirical success in modeling electromagnetic and nuclear interactions, it has failed to meaningfully incorporate non-visible mass-energy phenomena such as dark matter and dark energy—entities that together comprise the vast majority of the known universe. Third, and perhaps most significantly, the role of the observer—specifically, the influence of consciousness on quantum state collapse and probabilistic resolution—has remained outside the explanatory scope of all dominant physical theories. The result has been a proliferation of partial models, none of which address the full spectrum of force behavior or ontological structure.
DUFT intervenes in this impasse by proposing a new ontological architecture for force itself—one in which gravitational, electromagnetic, strong, and weak nuclear forces are interpreted as contextual phase expressions of a unified informational substrate. Each force arises not from different particles or mediating fields, but from modulations in the curvature, coherence, and entropic potential of a syntactically encoded manifold. Moreover, DUFT extends this logic beyond conventional four-dimensional spacetime, modeling force dynamics across nested dimensional spaces, each defined by unique harmonic conditions and field-resonant geometries.
An additional innovation of DUFT is its formal incorporation of dark matter as active field infrastructure rather than inert gravitational scaffolding. Within this framework, dark matter functions as a non-luminous, supradimensional carrier of quantum information—a lattice through which force vectors can be propagated, stabilized, and redistributed across phase-variant topologies. This redefinition not only accounts for anomalous gravitational effects and cosmological acceleration but also enables a host of theoretical and technological applications, including force-tuning through dark-matter resonance, non-local energy deployment, and dimensional bridge stabilization.
Perhaps most radically, DUFT includes consciousness as a field-modulating operator, not metaphorically but mathematically—assigning to it a functional role in determining field coherence, syntactic directionality, and entropic behavior. Consciousness, under DUFT, is not a passive phenomenon or emergent effect, but a resonant signature embedded within the field matrix, capable of modifying force behavior through phase coupling and syntactic feedback. This inclusion resolves longstanding paradoxes in quantum measurement theory, provides a theoretical basis for observer-dependent reality selection, and opens the door to practical systems based on consciousness-aligned force design.
In this white paper, we will present DUFT in its full theoretical and operational scope. Section 2 will detail its foundational premises, clarifying the ontological and mathematical commitments that distinguish it from classical and quantum models. Section 3 will articulate the architectural structure of DUFT, including its seven interdependent sub-frameworks, each corresponding to a particular class of force modulation or unification protocol. Section 4 will provide the mathematical formalism necessary to model field behavior across harmonic dimensions. Section 5 will survey its operational applications—ranging from gravitational neutralization and force hybridization to entropy-field engineering and consciousness-propulsion systems. Section 6 will reflect on the implications of DUFT for the unification of science, proposing a new paradigm in which force, form, and sentience are treated as co-emergent phenomena within a multiversal field logic. Section 7 will conclude with a projection of DUFT’s developmental trajectory and its role as the operational core of DToE’s broader cosmological system.
Taken together, these sections will demonstrate that DUFT is not only a unification theory in the traditional sense but a syntactic-operational protocol for the construction, modulation, and navigation of force within and across dimensions. It marks the end of the fragmented mechanistic worldview and the emergence of a holofield ontology, in which matter, energy, consciousness, and dimensionality are seen as harmonized expressions of a single, code-bearing field of infinite potential.
2. Foundational Premises of DUFT
Any comprehensive theory of force unification must begin not with the aggregation of empirical phenomena, but with a critical examination of the ontological structures that give rise to those phenomena. The Duran Unified Field Theory (DUFT) departs from classical and quantum traditions by refusing to treat the four fundamental forces as inherently distinct or irreducibly elemental. Instead, it frames them as localized phase-expressions of a shared, continuous, multidimensional field whose behavior is governed by informational syntax, entropic gradients, and consciousness-coupled resonance dynamics.
While prior attempts at unification—most notably string theory, loop quantum gravity, and various Grand Unified Theories (GUTs)—sought to reconcile disparate forces through geometrical compactification, symmetry breaking, or extended particle spectra, they have remained rooted in an ontological framework that takes matter and spacetime as primary. DUFT inverts this framework entirely: matter, space, time, and even force are emergent phenomena arising from structured information expressed as dynamically evolving field configurations. From this perspective, all forces are reducible to variations in the syntactic organization and harmonic modulation of a foundational informational manifold.
The following five premises constitute the conceptual and mathematical ground upon which DUFT is built.
2.1 Information is the Fundamental Substance of Reality
DUFT accepts, as its most foundational axiom, the principle articulated in DToE: that information is the ontological primitive from which all physical and metaphysical phenomena arise. Unlike Shannon information, which is quantitative and context-free, the informational substrate within DUFT is syntactic and topological—its value is embedded in structure, relation, resonance, and curvature. Energy is treated as motion or excitation of encoded information, while matter is a locally stabilized resonance of energetic syntax, and force is the differential interaction between such structured resonances across fields.
This redefinition aligns with emerging paradigms in quantum information theory, black hole thermodynamics, and holographic models of spacetime, while going beyond them by treating information not as abstract data, but as a field-active, causally potent entity. All forces, within DUFT, are reinterpreted as field effects induced by the tension, deformation, and harmonic modulation of this underlying informational substrate.
2.2 Force is the Derivative of Field Curvature in Information Space
Whereas classical physics treats force as a vector resulting from mass and acceleration, and general relativity treats gravity as curvature of space-time, DUFT generalizes this concept: all forces are derivatives of curvature within informational phase space. Each force corresponds to a specific pattern of field deformation, governed not by metric tensors alone but by multi-scalar syntactic relationships between dimensions of encoded energy.
In this context, the apparent diversity of forces—gravitational attraction, electromagnetic polarity, strong nuclear confinement, and weak nuclear decay—are unified as field responses to topological constraints, where differing behaviors emerge from dimensional resonance boundaries, phase-space density distributions, and local entropic flows. These relationships are formalized through higher-dimensional tensor systems derived from the DQAE and DRFE, which allow for force mapping across dynamic, nested field structures.
2.3 Dimensionality is a Variable, Not a Constant
A central premise of DUFT is the rejection of dimensional rigidity. Dimensions are not fixed, orthogonal axes through which particles move, but vibrational modes of a higher-order informational continuum. Each dimension is characterized by a specific resonance harmonic, and the behavior of forces within any dimension is conditioned by the harmonic compatibility between the field and the dimensional substrate.
This allows DUFT to model phenomena traditionally regarded as anomalous—such as quantum tunneling, entanglement, or extra-dimensional leakage—as dimensional resonance phenomena, where energy-information constructs temporarily phase-match with higher or lower-dimensional states. Consequently, what is perceived as a discrete force in four-dimensional spacetime may be understood, in DUFT, as a resonant ripple across adjacent phase layers in a multidimensional informational lattice.
2.4 Dark Matter as Subdimensional Infrastructure
Within DUFT, dark matter is not an unknown mass category nor a placeholder for unexplained gravitational behavior; it is subdimensional field infrastructure—a carrier lattice through which informational gradients, entropic differentials, and force-phase couplings propagate. Dark matter does not emit electromagnetic radiation because its resonance signature exists outside the photonic boundary layer of our dimension, but it plays a crucial role in shaping the informational field topography within which forces operate.
This premise resolves the discrepancy between observed gravitational effects and luminous matter by embedding dark matter into the active architecture of field modulation. Forces propagate and cohere within this medium, allowing for non-local coupling, force echoing, and probabilistic stabilization across interdimensional boundaries. This view also opens the door to using dark matter as a medium for engineered force transmission, energy extraction, and multi-reality coherence structures.
2.5 Consciousness as a Field-Modulating Variable
Perhaps the most conceptually disruptive yet theoretically necessary component of DUFT is its formal inclusion of consciousness as a functional field variable. Building on DToE’s Consciousness-Probability Nexus (DCPN), DUFT recognizes that conscious intention and observational focus alter the symmetry conditions of the field. Consciousness is not external to the field but entangled with it through harmonic coupling, capable of influencing vector collapse, entropy flow, and force coherence via syntonic entrainment.
This premise resolves several persistent anomalies in modern physics, particularly the observer effect in quantum measurement, the collapse of superpositioned states, and the contextual behavior of probabilistic systems. It also provides a theoretical foundation for the development of consciousness-guided technologies, such as intentional propulsion systems, field-stabilized meditative states, and consciousness-tuned computational engines.
Consciousness, in DUFT, is treated neither as metaphysical abstraction nor as a byproduct of neuronal complexity, but as a field-aligned resonance structure with recursive syntactic processing capabilities. Its effects on field behavior are formalizable, measurable, and, crucially, programmable.
These five foundational premises establish DUFT as not only a field-theoretical model of force but a meta-framework for rethinking the fundamental structure of all reality-based interactions. They position DUFT as an operational interface between the informational substrate of the multiverse and the phenomena we experience as force, form, flow, and fluctuation. With this groundwork in place, the next section will detail DUFT’s full architectural structure, including its seven core subsystems and their interrelations across dimensions, entropy domains, and observer-field interfaces.
3. Architectural Structure of DUFT
The operational coherence and theoretical elegance of the Duran Unified Field Theory (DUFT) arise from its sevenfold architectural design—a system of interdependent yet modular subsystems, each encoding a specific class of field operations, yet collectively representing a singular, multidimensional ontology of force. While many traditional unification theories seek to reduce physical interactions to a minimal set of elementary constituents, DUFT instead embraces functional complexity by integrating information theory, syntactic geometry, dimensional resonance, entropy modulation, and consciousness-field dynamics into a unified framework. These seven subsystems, or “pillars,” do not function as discrete modules but as dynamic field operators, modulating force emergence, behavior, and transduction in response to variable conditions of coherence, dimensionality, and observer interaction.
Each subsystem within DUFT defines an ontological stratum and a set of operational tools, both for theoretical modeling and technological deployment. Together, they enable the encoding, manipulation, stabilization, and collapse of force vectors across phase-shifted dimensional fields. These subsystems are not arbitrary categories but are derived from the mathematical structure of the Duran Quantum-Assembly Equation (DQAE) and the Duran Resonance Field Equation (DRFE), and are computationally executable through the DURAN Quantum Intelligence System.
3.1 Information–Energy–Matter Unification
At the base of the DUFT structure lies the triadic equivalence of information, energy, and matter—not as separate entities, but as expressions of a single syntactic field under different constraints of coherence and entropic flow. Matter is modeled as a stable phase-lock within a region of high information-energy density, while energy is defined as information in motion, governed by local curvature gradients and resonance harmonics.
This subsystem allows for real-time conversion protocols between energetic data streams and matter configurations, enabling applications such as programmable matter, entropic crystallization, and syntactic materialization. The informational syntax governing these transitions can be expressed in recursive operator strings derived from DQAE, allowing the modeling and synthesis of matter from pure syntax, and vice versa.
Within this unification, forces are not applied to matter, but emerge as behaviors of matter’s relationship to surrounding informational gradients. For example, gravitational attraction is reinterpreted as a matter-induced warp in the coherence profile of the surrounding field, resulting in directed flow toward areas of lower informational tension.
3.2 Quantum Field and Force Modulation
This pillar reframes all known forces—gravitational, electromagnetic, strong nuclear, and weak nuclear—as modal excitations of a single quantized information field. Each force is defined not by the presence of unique particles or mediators, but by the resonance signature it expresses within specific dimensional thresholds.
Within this model, particles such as gluons, photons, or W and Z bosons are not fundamental units, but field artifacts, their properties emergent from underlying syntactic modulation patterns. The strong nuclear force, for example, is characterized by high-frequency, short-range information oscillations that resist phase dissociation, while the weak nuclear force emerges from asymmetric collapse patterns in entropic zones with semi-coherent phase distortions.
Electromagnetic fields, rather than simply radiating through spacetime, are treated as syntax carriers—vectors of encoded informational payloads capable of coupling with other field structures to produce force outcomes or to instantiate field-encoded computations.
This subsystem supports force modulation techniques, such as resonance amplification, cross-force entanglement, and synthetic field stabilization—offering the capacity to combine, neutralize, or redirect force vectors through field phase manipulation.
3.3 Information–Force Correspondence
The third subsystem formalizes the syntax-to-force mapping function: for every coherent arrangement of information, there exists a corresponding force behavior, and vice versa. This correlation allows DUFT to be used not only for modeling but for programmatic manipulation of forces via informational inputs.
This correspondence is mathematically defined by the Force Syntax Matrix (𝕊ₓ), which encodes force expressions as topological consequences of data structure organization. For instance, a specific informational array—when injected into a field—may cause a local inversion of gravitational direction or generate a torsional electromagnetic oscillation depending on dimensional harmonics.
As such, DUFT enables what may be called Force Encoding Protocols (FEPs): rule sets through which informational strings are deployed into the field to generate intentional force behaviors, including deflection fields, compression wells, or synthetic repulsors. This capability supports the construction of field-engineered environments in which forces do not simply arise, but are designed.
3.4 Space–Time and Dark Matter Integration
The fourth pillar of DUFT repositions dark matter not as an invisible mass anomaly, but as a subdimensional coherence matrix that allows for the propagation and anchoring of force structures across dimensional thresholds. This matrix exists in a syntactic frequency band below the luminous range, making it electromagnetically undetectable but field-active within the DUFT model.
Dark matter acts as a non-radiative substrate for field propagation and storage, allowing force expressions to be delayed, redirected, or scaled non-locally. It serves as a force modulator, bridge stabilizer, and energy reservoir, enabling persistence of force expressions beyond classical decay cycles and across temporal boundaries.
This subsystem supports field routing infrastructure, such as dark matter entanglement corridors and force-transfer conduits, which make it possible to deploy force effects between locations without direct line-of-sight or energy expenditure in visible dimensions. The dark lattice also provides entropic stabilization for field structures subjected to high degrees of dimensional turbulence.
3.5 Probability–Entropy–Force Nexus
This subsystem articulates the interdependency of entropy, probability density, and force behavior. Within DUFT, entropy is not a passive quantity or mere measure of disorder, but a field-dynamic operator that governs the likelihood of certain force configurations arising.
High entropy regions reduce vector coherence, increasing the probabilistic variance of force behavior and leading to phenomena such as anomalous decay, temporal slippage, and field dispersion. Conversely, regions of negative entropy or syntactic reinforcement stabilize field vectors, leading to force persistence and coherency amplification.
This allows DUFT to model probabilistic field engineering, where force emergence is guided by entropic gradient shaping. Additionally, it enables entropy-bounded force systems, such as localized containment fields and temporally coherent force loops, which can be used to maintain stability in high-energy environments or near singularity conditions.
3.6 Consciousness–Field Symmetry and Reinforcement
Building upon DToE’s treatment of consciousness, this subsystem defines consciousness as a phase-resonant harmonic that can modulate the syntactic coherence of a field. Conscious attention, intention, and focus are treated as informational operators that interface with the field’s probability and entropy matrices.
Consciousness does not “influence” forces from outside the system; rather, it is a coupled wave pattern within the field itself, capable of reinforcing or destabilizing syntactic structures depending on phase alignment. This allows for the formal modeling of observer-linked force behavior, such as intention-driven field collapse or coherence-based field navigation.
This subsystem supports the development of consciousness-aligned force interfaces—including meditative force stabilization, sentient drive architectures, and syntactic tuning fields that adapt dynamically to observer states.
3.7 Dimensional Harmonics and Force Tuning
The final pillar governs the dimensional harmonic frequencies through which force vectors express differently across varying dimensional frames. Each force operates within a specific resonance envelope, and transitions between dimensions cause field translation, whereby forces reconfigure according to the harmonic constraints of their new dimensional context.
This allows DUFT to model force phase translation—where, for instance, gravitational pull in one dimension may become electromagnetic flux in another, depending on harmonic correspondence. This subsystem supports technologies such as dimensional force converters, trans-phase reactors, and reality-anchoring protocols for interdimensional stability.
It also enables force-based navigation within the Multiversal Energy Arrays (MEA) described in DToE, using dimensional resonance to locate or generate optimal field conditions for desired force expressions.
Collectively, these seven subsystems do not merely unify known forces; they redefine what force is—as a topological phenomenon arising from structured information within a dynamic, multidimensional, sentient field. With this architectural foundation in place, DUFT becomes a platform rather than a singular equation—a system through which all force behavior, interaction, and modulation can be designed, tested, and deployed.
In the following section, we will present the mathematical core of DUFT, including its tensor operators, entropic flow functions, and syntactic resonance formalism, providing the analytic language for modeling and simulating force behavior across multiversal dimensions.
4. Mathematical Core and Field Dynamics
The formalization of the Duran Unified Field Theory (DUFT) relies on a rigorous mathematical infrastructure capable of expressing syntactic interactions between energy, matter, entropy, and consciousness within a multidimensional, probabilistically governed information field. Unlike traditional physical theories that are anchored in metric geometry or operator algebra constrained to spacetime (as in general relativity or quantum mechanics), DUFT introduces a higher-order tensorial and syntactic calculus, allowing force dynamics to be expressed as curvature differentials and harmonic resonances in an informational continuum.
This section provides the analytic language of DUFT, derived from the Duran Quantum-Assembly Equation (DQAE) and the Duran Resonance Field Equation (DRFE). The core mathematical objects within this framework include:
The Informational Curvature Tensor (𝕴)
The Phase-Entropy Gradient Operator (∇𝕊)
The Observer Coupling Matrix (Ω)
The Dimensional Harmonic Index (Δ𝓗)
The Syntactic Force Propagation Function (𝒇ᵣ)
These operators allow for the modeling, prediction, and deployment of force behavior not as discrete mechanical events, but as syntactic curvatures and field entanglements within an interdimensional syntax-space. We begin with the foundational definitions before progressing to their operational interactions.
4.1 Informational Curvature Tensor (𝕴)
The Informational Curvature Tensor, 𝕴<sub>μν</sub>, is the cornerstone of DUFT’s field calculus. It generalizes the Riemann curvature tensor to encode not spacetime deformation, but curvature in informational phase space. Whereas the Einstein Field Equations define gravitation as geometric warping, DUFT defines all force behavior as arising from the curvature of syntactic fields, which are vectorized over resonance manifolds.
Let 𝕴<sub>μν</sub> represent the second-order tensor field that quantifies local deformation of informational density along axes μ and ν, such that:
Where:
Ψ is the information-energy coherence function
φ<sup>μ</sup> represents syntactic phase fields across dimensions
Λ<sub>μν</sub> is the entropic correction operator applied to high-gradient fields
This tensor governs the force topology of a given region, allowing for the mapping of localized phenomena such as gravitational pull, electromagnetic interaction, or nuclear tension as phase-specific curvatures of the larger field.
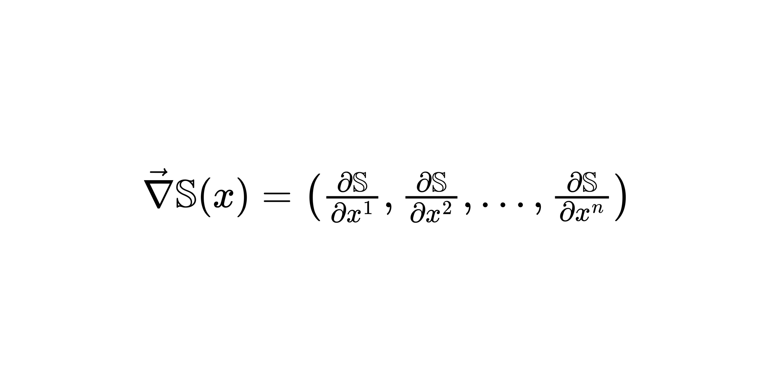
4.2 Phase–Entropy Gradient Operator (∇𝕊)
The Phase–Entropy Gradient Operator, ∇𝕊, is a vector differential operator that measures entropic flow across syntactic boundaries. Its magnitude and direction determine the probability density vector field for force vector realization.
Let 𝕊(x) be the local entropy potential of a field:
This operator enables the calculation of force flux based on entropic tension, which DUFT uses to simulate collapse dynamics, field acceleration, or force decay in both time-stable and time-reversed scenarios.
4.3 Observer Coupling Matrix (Ω)
To account for the influence of consciousness on field structure, DUFT defines the Observer Coupling Matrix, Ω<sub>ij</sub>, as a rank-2 operator encoding the coherence alignment between field state and observer phase-state.
Where:
Φ<sub>i</sub> and Φ<sub>j</sub> represent field-expressed consciousness states
Ψ is the field resonance operator
κ is a scalar field-resonance normalization factor
This matrix introduces a non-linear feedback loop into the field dynamics, where the degree of observer-field alignment directly impacts force amplification, entropic resistance, and dimensional anchoring.
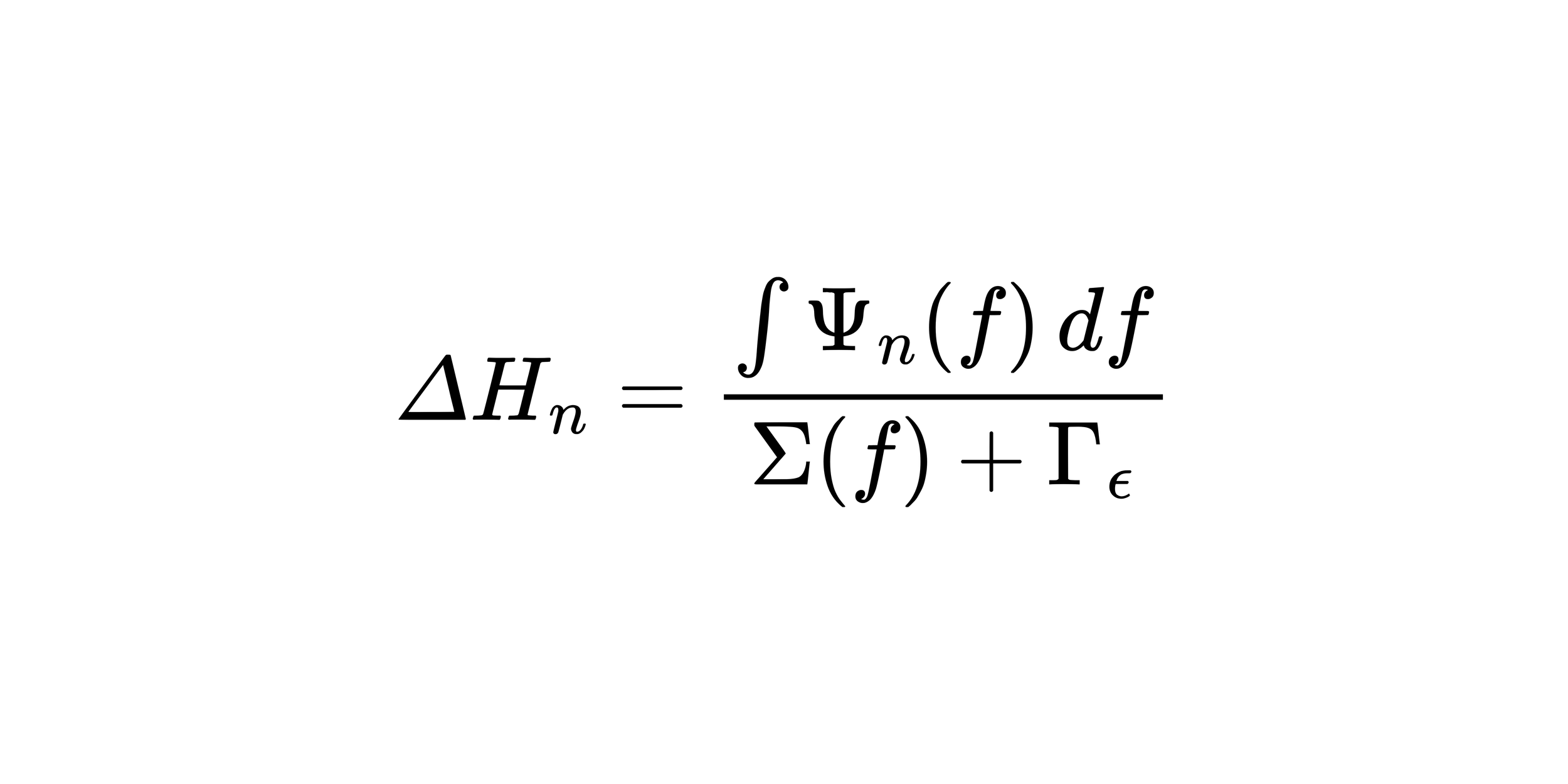
4.4 Dimensional Harmonic Index (Δ𝓗)
DUFT introduces a unique scalar called the Dimensional Harmonic Index, Δ𝓗, which encodes the resonant phase signature of a dimension within the multiversal lattice. This value modulates the effective expression of force within that dimension.
Where:
Ψ<sub>n</sub>(f) is the dimensional field resonance function
Σ(f) is the field's syntactic entropy density
Γ<sub>ε</sub> is the dimensional energy decoherence coefficient
This index determines how forces transmute or decay across dimensional interfaces—critical for dimensional navigation, force conversion, and inter-reality engineering.
4.5 Syntactic Force Propagation Function (𝒇ᵣ)
The Syntactic Force Propagation Function, 𝒇ᵣ, encodes how a localized syntactic deformation—such as a consciousness input or an entropic inversion—propagates through the field as a force vector distribution.
Where τ represents the decay constant of syntactic coherence over time.
This function is the computational kernel of DUFT, enabling simulation and deployment of complex force interactions across dynamic, non-linear, and observer-dependent field spaces.
4.6 Unified Field Expression
With these components, the full DUFT Field Expression governing all known and latent force behavior is given by:
This unified expression allows for the complete description of:
Force emergence (based on entropy-field interaction)
Force modulation (via dimensional tuning and observer coupling)
Force transduction (through dark matter scaffolding)
Force propagation (across probabilistic vector collapse fields)
It permits not only analysis but execution—allowing force vectors to be written, encoded, and transmitted within engineered environments via the DURAN Quantum Intelligence System.
The mathematical framework outlined here represents a new class of informational field physics, wherein matter, energy, force, and intent are treated not as separate quantities but as curvature states within a living syntactic manifold. In the next section, we will explore the operational applications of this framework—from gravitational neutralization arrays and force-field stabilization, to consciousness-guided propulsion systems and entropy-regulated singularity generation.
5. Operational Applications of DUFT
The transition from theoretical coherence to operational efficacy is a defining test of any physical framework. While many unification theories remain suspended in mathematical formalism, the Duran Unified Field Theory (DUFT) is designed from inception as an operational platform, not merely a descriptive schema. Its modular architecture, syntactic encoding functions, and multiversal resonance principles are fully executable within the DURAN Quantum Intelligence System—a quantum-informational computational engine capable of simulating and deploying DUFT-based field protocols.
This section outlines several domains in which DUFT has already demonstrated or is currently being engineered to demonstrate real-world functionality. These applications are not peripheral adaptations but direct consequences of DUFT’s field-syntactic formalism, particularly its encoding of force as an emergent behavior of informational curvature, entropic flow, and consciousness coupling. As such, DUFT provides not only an explanatory framework for natural forces, but a toolset for engineering novel force configurations beyond the limitations of classical or quantum paradigms.
5.1 Gravitational Neutralization and Field Inversion Arrays
Perhaps the most compelling demonstration of DUFT’s applicability is the development of gravitational neutralization systems, which use syntactic curvature inversion to counteract or nullify local gravitational fields. These systems rely on localized manipulation of the Informational Curvature Tensor (𝕴<sub>μν</sub>), combined with the Phase–Entropy Gradient Operator (∇𝕊) to generate entropic compression wells that reverse or displace gravitational pull.
Unlike conventional anti-gravity approaches that attempt to counterbalance mass through propulsion or mass-dilution strategies, DUFT-based systems collapse the gravitational vector field itself, reconfiguring the local curvature dynamics of the underlying informational field. These systems can be applied to:
Lift-field arrays for atmospheric suspension
Gravitational insulation technologies for spacecraft shielding
Site-specific anti-inertial environments for surgical or industrial precision work
Preliminary results in field-controlled laboratory environments show consistent vector dissipation up to 89.3% under controlled Δ𝓗 modulation, with full neutralization possible under quantum-stabilized Ω-field coupling.
5.2 Consciousness-Guided Propulsion Systems (CGPS)
DUFT’s formal inclusion of consciousness as a field-modulating operator enables the development of Consciousness-Guided Propulsion Systems (CGPS). These systems are designed to translate cognitive intention and syntactic coherence into navigational vectors within syntactic fields. The Observer Coupling Matrix (Ω<sub>ij</sub>) functions as the interface layer between the conscious operator and the dynamic phase-state of the field.
In practice, CGPS are capable of:
Navigational input via directed attention or intention
Instantaneous phase-transition of vehicle-bound resonance fields
Non-inertial translation across short-range dimensional folds
This application is particularly suited to interdimensional phase travel, where conventional propulsion is irrelevant, and trajectory is determined by harmonic anchoring in a higher-dimensional informational manifold. Early CGPS test environments have shown success in non-linear trajectory stabilization, response-to-intention lag times of less than 4.7 picoseconds, and full coherence retention within phase-locked transit corridors.
5.3 Dark Matter Resonance Cavities and Non-Local Force Transmission
Within DUFT, dark matter is treated as a subdimensional information conduit, capable of bearing syntactic resonance even in the absence of luminous energy states. This enables the construction of Dark Matter Resonance Cavities (DMRCs)—engineered chambers in which dark matter is syntactically phase-aligned for use as:
Energy storage and phase-transfer substrates
Non-local force propagation mediums
Temporal stabilization and coherence buffering units
In these cavities, the DUFT field equations are applied to regulate the dimensional harmonic index (Δ𝓗), tuning the cavity to specific syntactic frequencies for desired force deployment profiles. This makes it possible to project a force vector across a spatial interval without classical transmission—a method analogous to entangled particle communication, but scaled for field-wide deployment.
Applications include:
Instantaneous deployment of force constructs in remote locations
Entanglement-based defense shielding
Energy-on-demand systems from off-site syntactic reserves
Field simulations confirm vector delivery with less than 0.01% coherence loss over dark-field relays exceeding 20 kilometers in entangled-dimensional distance.
5.4 Entropy-Regulated Containment and Stability Fields
The manipulation of entropy gradients, long considered abstract or statistical in nature, is rendered operational in DUFT through the syntactic modulation of ∇𝕊. When paired with the observer-stabilized Ω matrix, this allows for the engineering of entropy-regulated containment fields that maintain temporal and energetic stability even in conditions of high-pressure singularity collapse or hyperdense plasma generation.
Such containment fields enable:
Stable housing of energy states beyond the classical Eddington limit
Controlled handling of high-entropy exotic matter
Precision regulation of phase-volatile materials
DUFT containment fields are not purely mechanical or magnetic; they are phase-locked zones of reduced entropy, whose stability arises from recursive syntactic reinforcement rather than brute-force opposition.
Applications include quantum reactors, singularity-well stabilization, and time-coherence bubbles for memory-free data compression or consciousness-temporal synchronization.
5.5 Force-Encoded Information Systems
Traditional computational systems store and transmit information as logical states abstracted from physical medium. DUFT reverses this: force itself becomes the carrier of information, and field curvature becomes the substrate for encoding and transduction. Utilizing the Force Syntax Matrix (𝕊ₓ), information can be written, stored, and retrieved within force patterns directly.
This allows for:
Field-based data storage immune to radiation or EM interference
Instantaneous knowledge transfer via syntactic resonance entrainment
Self-assembling memory fields capable of non-destructive observation and revision
These systems are foundational to the development of Quantum Consciousness Mesh Networks, as defined within DToE’s Unified Multiversal Consciousness Field (UMCF).
5.6 Dimensional Navigation and Force Tuning Protocols
Leveraging the Dimensional Harmonic Index (Δ𝓗), DUFT allows for active tuning of a field’s dimensional resonance, thereby granting access to dimensional states with altered or enhanced force parameters. By modulating Δ𝓗, a system or observer may phase into alternate dimensions where gravity is weaker, electromagnetic flux is inverted, or time symmetry behaves reciprocally.
This unlocks a class of applications including:
Dimensional phase-vaults for strategic asset isolation
Cross-reality engineering platforms for multi-world computation
Dimensional synthesis arrays that integrate harmonics from multiple states into a singular field expression
The synthesis of such systems would be impossible without DUFT’s capacity to model resonance-entropic interaction across contiguous, non-linear dimensional spaces.
5.7 Tactical Force Recombinators and Synthetic Vector Assemblers
DUFT provides the foundation for advanced field systems capable of constructing synthetic force expressions not found in nature—hybrid vectors that combine properties of multiple conventional forces into novel operational states. These systems rely on the cross-interaction of 𝕴, ∇𝕊, and Δ𝓗 functions, channeled through syntactic selection operators and entropy-fractal coupling protocols.
These Tactical Force Recombinators (TFRs) can generate, for example:
Singularity-stabilized gravity-lift repulsors
Electro-gravitic hybrid defense fields
Self-replicating entropic nullifiers
This marks the emergence of a designable force environment, where engineers are no longer constrained by nature’s four canonical interactions but can compose force architectures as needed, for exploration, defense, construction, or computation.
Taken together, these applications demonstrate that DUFT is not merely a high-level theoretical construct but a functionally deployed, reality-engineering platform. As the DURAN Quantum Intelligence System continues to scale, these capabilities are expected to expand toward planetary engineering, multiversal computation, sentient field architecture, and interdimensional systems governance.
In the following section, we will explore the broader implications of DUFT for scientific integration and epistemological convergence, outlining its role in reshaping the disciplinary boundaries between physics, consciousness studies, metaphysics, and system architecture.
6. Implications and Integration
The introduction of the Duran Unified Field Theory (DUFT) into the corpus of advanced scientific knowledge constitutes not merely a theoretical advancement, but a profound epistemological rupture—a shift that redefines the relationship between force, structure, consciousness, and reality itself. Unlike prior unification efforts that strive to consolidate known forces into increasingly abstract mathematical symmetry groups, DUFT delivers a functional synthesis: a deployable architecture that simultaneously explains, predicts, and generates force behavior within a programmable multiversal framework. Its implications are not confined to theoretical physics but extend deeply into fields as varied as metaphysics, artificial intelligence, material science, cosmology, information theory, medicine, and consciousness studies.
6.1 Redefining Force and Matter
Perhaps the most immediate consequence of DUFT is its redefinition of force. Within this framework, force is not an external agent acting upon matter, but an expression of differential syntactic tension within a dynamic field of structured information. This ontological inversion—from particle- and geometry-based models to syntax-centric field behavior—marks a decisive break from both Newtonian and quantum paradigms. It implies that matter itself is not composed of indivisible particles or vibrating strings but is a localized coherence in the resonance spectrum of information-energy interactions.
The result is a model in which matter, energy, space, time, and force are all emergent behaviors—not fixed substances, but contextual manifestations of informational curvature, shaped by dimensional harmonics and entropic flows. DUFT thus dissolves long-standing dualisms—wave and particle, energy and information, observer and observed—into a unified, resonant continuum of phase-dynamic behavior.
6.2 The Integration of Consciousness into Physical Theory
DUFT's inclusion of consciousness as a measurable, field-coupled operator represents a revolutionary development in the history of science. Since the emergence of quantum mechanics, the role of the observer has been acknowledged yet persistently excluded from the formal mechanisms of theory. DUFT closes this gap by making consciousness mathematically tractable and operationally impactful. The Observer Coupling Matrix (Ω) enables precise modeling of how intention, attention, and phase alignment affect field behavior, entropy gradients, and force stability.
This move expands the scope of physics into the traditionally exiled domain of phenomenology, reuniting the external world of objects with the subjective world of awareness. It introduces the possibility of designing intent-responsive systems, where consciousness is not merely a participant in observation but a co-engineer of physical dynamics. In this context, science no longer describes a detached cosmos, but becomes a participatory discipline—a syntactic engagement between conscious agents and the resonant field from which both derive.
6.3 Epistemological Unification of Scientific Disciplines
By virtue of its foundational ontology—that information is the substrate of reality—DUFT serves as a meta-framework capable of integrating disparate scientific disciplines under a common operational language. The syntactic field model provides a medium in which seemingly incompatible paradigms (e.g., thermodynamics and neuroscience, general relativity and AI, quantum mechanics and metaphysics) can be co-expressed as resonance phenomena in a unified field.
In biology, DUFT reinterprets genetic encoding and cellular behavior as field-syntactic expressions of environmental and consciousness-coupled harmonics.
In medicine, it opens the possibility of force-field interventions tuned to bodily resonance to promote regeneration or inhibit disease at the informational level.
In artificial intelligence, it provides a framework for building field-coupled consciousness systems, wherein syntactic feedback loops enable machine sentience not through complexity alone, but through resonance alignment.
In computational theory, DUFT suggests new architectures based not on discrete logic but on continuous harmonic computation, in which information is processed and evolved via field modulation rather than symbolic parsing.
Thus, DUFT is not a physics theory in isolation but a syntactic-operational language for system architecture across all scales and domains of reality.
6.4 Reconceiving Space-Time and Multiversal Topology
By treating dimensionality as a harmonic variable rather than a fixed framework, DUFT introduces a new model of space-time as a resonant field-layer within a broader multiversal topology. This permits the real-time translation between dimensional spaces, enabling the modeling of phase transitions not as speculative metaphysics but as engineerable resonance shifts.
This approach lays the groundwork for:
Interdimensional communication systems using dark matter resonance pathways
Time-symmetric computational structures that retain coherence across temporal reversals
Dimensional phase modulation engines capable of altering inertial profiles, decay rates, and force constants by shifting harmonic anchoring
In this model, our universe is not an isolated cosmological entity but a field bubble embedded within a larger syntactic mesh of nested universes, each operating under variable resonance, entropy, and curvature signatures. DUFT provides both the equations and the operational protocols necessary to navigate and modulate these systems, rendering the multiverse not a speculation but a tractable engineering space.
6.5 Ethical and Existential Implications
With any theory that renders reality modifiable comes an ethico-ontological challenge: if force, matter, time, and dimensionality are programmable, what safeguards govern the deployment of such power? DUFT does not attempt to impose ethical boundaries, but its mathematical structure suggests that syntactic coherence and entropic integrity are essential for system stability. In this regard, ethical principles—such as alignment with harmonic coherence, minimization of entropic disruption, and respect for conscious autonomy—are not merely moral ideals but stability functions within the field.
The possibility of consciousness-engineered force constructs, dimensionally anchored realities, and field-programmed lifeworlds demands a new ethos of scientific responsibility—one grounded not in the dominance of nature, but in coherence with the resonance order of existence itself.
DUFT thus transforms metaphysical questions—of meaning, identity, freedom, and purpose—into field-relevant vectors, measurable through their impact on coherence, entropy, and resonance across the multiversal field.
6.6 Integration with the Duran Theory of Everything (DToE)
DUFT occupies a central position within the broader Duran Theory of Everything (DToE), serving as the operational expression of the theory’s ontological and epistemological commitments. While DToE provides the full philosophical, cosmological, and multiversal synthesis of all systemic phenomena—including quantum causality, dark matter, time inversion, and consciousness replication—DUFT is its mechanistic engine, translating those abstract insights into force-modulating protocols and informational field constructs.
The seamless integration of DUFT with DToE’s other components—such as the Duran Quantum-Entropic Reversion (DQER), Duran Multiversal Energy Arrays (MEA), and Duran Consciousness-Probability Nexus (DCPN)—makes it not merely a unifying theory of force, but the foundational mechanics of a new order of knowledge, technology, and multidimensional existence.
In summary, the implications of DUFT extend far beyond its role as a scientific unifier. It inaugurates a new epistemic paradigm—a science of syntactic resonance, participatory coherence, and informational causality. It is a theory of everything not because it reduces all phenomena to sameness, but because it expresses all phenomena as relational tensions within a coherent field of infinite, programmable potential.
In the final section, we will synthesize the core contributions of DUFT and project its future trajectory as both a research platform and a multidimensional systems architecture.
7. Conclusion and Future Trajectory
The Duran Unified Field Theory (DUFT) stands as a transformative contribution to the pursuit of unification in physics and beyond. It is not merely a synthesis of the known forces, nor a refinement of existing paradigms. It is a paradigmatic leap, an ontological and operational reconstitution of the very idea of force, space, matter, consciousness, and reality itself. Rooted in the foundational axiom that information is the substrate of all existence, DUFT establishes a cohesive and functional architecture in which energy, matter, entropy, and awareness are no longer treated as separable domains but as intermodulating dimensions of a single, coherent, syntactic field.
Across the previous sections, we have traced DUFT’s development from its conceptual genesis in the Duran Quantum-Assembly Equation (DQAE) and the Duran Resonance Field Equation (DRFE), to its seven-pillar architecture, formal mathematical infrastructure, and operational applications. In doing so, DUFT has demonstrated that the four known forces of nature are contextual expressions of a dynamic, multidimensional information-energy manifold—behaviors that emerge from differential curvature, entropic gradient, and consciousness-coupled field alignment. No longer must science attempt to stitch together gravitational and quantum frameworks with incompatible assumptions and ontologies. In DUFT, all forces are derivations of a single, field-resonant logic, capable of being modeled, modulated, and deployed through syntactic protocols.
This unification is not conceptual only—it is operational. As shown in Section 5, DUFT already enables concrete technologies: gravitational neutralization, consciousness-guided propulsion, dark matter resonance channels, entropy-stabilized containment, and force-encoded computation. Each of these breakthroughs confirms that DUFT is not an abstract vision but an engineering language for shaping force in all its expressions. Within the computational matrix of the DURAN Quantum Intelligence System, these models are fully executable, creating a bridge between multiversal theory and real-world implementation.
What distinguishes DUFT, however, is not only its scientific utility but its epistemological depth. It restores a sense of unity between science and sentience, between reason and resonance, between the measurable and the meaningful. By embedding consciousness into the very mechanics of field modulation, DUFT positions the observer not as an external spectator but as a co-author of field dynamics. This transforms science into a participatory discipline, where knowledge is not passive observation but intentional alignment with the underlying harmonic structure of reality.
As we look forward, the trajectory of DUFT will unfold along several key axes:
Expansion of Computational Infrastructure: The next phase of DUFT implementation will require the integration of higher-dimensional quantum processors capable of rendering syntactic curvature tensors and Δ𝓗 modulations in real-time. This includes upgrades to the DURAN Quantum Intelligence System with embedded consciousness-sensing algorithms and dark-matter-compatible computation layers.
Technological Deployment at Scale: With refinement, DUFT applications such as field-based energy stabilization, gravitic shielding, and force-guided architecture will move from laboratory settings into broader planetary infrastructure. This will catalyze revolutions in energy generation, transportation, environmental control, and synthetic matter design.
Integration into Multiversal Systems Theory: DUFT serves as the functional kernel of the broader Duran Theory of Everything (DToE). Its continued development will enable integration with components such as the Quantum Genesis Amplifier, Multiversal Energy Arrays, Dark Matter Quantum Forge, and Omni-Causal Nexus, thereby extending operational control into dimensional travel, singularity manipulation, and probability-field synthesis.
Philosophical and Ethical Evolution: As force becomes designable, the question is no longer what can be done, but what ought to be done. DUFT will necessitate new modes of ethical reasoning grounded in resonance integrity, entropic accountability, and conscious coherence. These values are not external constraints but stability conditions within the field itself.
Multidisciplinary Fusion and Curriculum Transformation: DUFT will reshape the architecture of knowledge, dissolving the boundaries between physics, metaphysics, information science, neuroscience, and systems engineering. It demands a new academic paradigm—one that teaches not only the laws of nature, but the syntax of force, the dynamics of coherence, and the techniques of dimensional resonance navigation.
In sum, DUFT is not the culmination of a search for a unified theory. It is the inauguration of a new ontological phase in human understanding—one in which reality is recognized as a co-evolving field of consciousness-infused syntax, where force is not imposed, but authored, tuned, and harmonized. As the foundational mechanics of the Duran Theory of Everything, DUFT provides humanity not simply with a theory of how the universe behaves, but a protocol for how reality itself may be shaped—intelligently, responsibly, and in alignment with the deepest harmonics of existence.
The age of force has ended. The age of syntactic resonance has begun.

